POLS 2580

Casual Inference in
Observational Designs &
Simple Linear Regression

Updated Dec 4, 2025

Overview

Overview

  • Announcements
  • Setup
  • Feedback
  • Review
  • Class plan

Learing goals

  • Introduce the concept of Directed Acyclic Graphs to describe causal relationships and illustrate potential bias from confounders and colliders

  • Discuss three approaches to covariate adjustment

    • Subclassification
    • Matching
    • Linear Regression
  • Begin discussing three research designs to make causal claims with observational data

    • Differences-in-Differences (More likely next week)
    • Regression Discontinuity Designs
    • Instrumental Variables

Annoucements

  • Assignment 1 due October 9 on Canvas

  • Do we want the opportunity to provide weekly feedback?

Review

Review

  • Data wrangling

  • Descriptive Statistics

  • Levels of understanding

  • Data visualization

Data Wrangling

Data wrangling

You’re learning how to map conceptual tasks to commands in R
Skill Common Commands
Setup R install.packages(),library(), ipak()
Load data read_csv(), load()
Get HLO of data df$x, glimpse(), table(), summary()
Transform data <-, mutate(), ifelse(), case_when()
Reshape data pivot_longer(), left_join()
Summarize data numerically mean(), median(), summarise(), group_by()
Summarize data graphically ggplot(), aes(), geom_

Mapping Concepts to Code

  • Takes time and practice

  • Don’t be afraid to FAAFO

  • Break long blocks of code into sequential parts

  • Don’t worry about memorizing everything.

  • Statistical programming is necessary to actually do empirical research

  • Learning to code will help us understand statistical concepts.

  • Learning to think programmatically and algorithmically will help us tackle complex problems

Descriptive Statiscs

Descriptive statistics

  • Descriptive statistics help us describe what’s typical of our data

  • What’s a typical value in our data

    • Mean
    • Median
    • Mode
  • How much do our data vary?

    • Variance
    • Standard deviation
  • As one variable changes how does another change?

    • Covariance
    • Correlation
  • Descriptive statistics are:

    • Diagnostic
    • Generative

Levels of understanding

Levels of understanding in POLS 2580

  • Conceptual

  • Practical

  • Definitional

  • Theoretical

Let’s illustrate these different levels of understanding about our old friend the mean

Mean: Conceptual Understanding

A mean is:

  • A common and important measure of central tendency (what’s typical)

  • It’s the arithmetic average you learned in school

  • We can think of it as the balancing point of a distribution

  • A conditional mean is the average of one variable X, when some other variable, Z takes a value z

    • Think about the average height in our class (unconditional mean) vs the average height among men and women (conditional means)

Mean as a balancing point

Source

Mean: Practical

There are lots of ways to calculate means in R

  • The simplest is to use the mean() function

    • If our data have missing values, we need to to tell R to remove them
mean(df$x, na.rm=T)

Conditional Means: Practical

  • To calculate a conditional mean we could us a logical index [df$z == 1]
mean(df$x[df$z == 1], na.rm=T)
  • If we wanted to a calculate a lot of conditional means we could use the mean() in combination with group_by() and summarise()
df %>% 
  group_by(z)%>%
  summarise(
    x = mean(x, na.rm=T)
  )

Mean: Definitional

Formally, we define the arithmetic mean of x as x¯:

x¯=1n(∑i=1nxi)=x1+x2+⋯+xnn

In words, this formula says, to calculate the average of x, we sum up all the values of xi from observation i=1 to i=n and then divide by the total number of observations n

Mean: Definitional

  • In this class, I don’t put a lot of weight on memorizing definitions (that’s what Google’s for).

  • But being comfortable with “the math” is important and useful

  • Definitional knowledge is a prerequisite for understanding more theoretical claims.

Mean: Theoretical

Suppose I asked you to show that the sum of deviations from a mean equals 0?

Claim:∑i=1n(xi−x¯)=0

Mean: Theoretical

Knowing the definition of an arithmetic mean, we could write:

∑i=1n(xi−x¯)=∑i=1nxi−∑i=1nx¯Distribute Summation=∑i=1nxi−nx¯Summing a constant, x¯=∑i=1nxi−n×(1n∑i=1nxi)Definition of x¯=∑i=1nxi−∑i=1nxin×1n=1=0

Mean: Theoretical

Why do we care?

  • Showing the deviations sum to 0 is another way of saying the mean is a balancing point.

  • This turns out to be a useful property of means that will reappear throughout the course

  • If I asked you to make a prediction, x^ of a random person’s height in this class, the mean would have the lowest mean squared error (MSE =1n∑(xi−xi^)2)

Mean: Theoretical

Occasionally, you’ll read or here me say say things like:

The sample mean is an unbiased estimator of the population mean

In a statistics class, we would take time to prove this.

The sample mean is an unbiased estimator of the population mean

Claim:

Let x1,x2,…xn from a random sample from a population with mean μ and variance σ2

Then:

x¯=1n(∑i=1nxi)

is an unbiased estimator of μ

E[x¯]=μ

The sample mean is an unbiased estimator of the population mean

Proof:

E[x¯]=E[1n(∑i=1nxi)]Definition of x¯=1n∑i=1nE[xi]Linearity of Expectations=1n∑i=1nμE[xi]=μ=nnμ∑i=1nμ=nμ=μ◼

Levels of understanding

In this course, we tend to emphasize the

  • Conceptual

  • Practical

Over

  • Definitional

  • Theoretical

In an intro statistics class, the ordering might be reversed.

Trade offs:

  • Pro: We actually get to work with data and do empirical research much sooner
  • Cons: We substitute intuitive understandings for more rigorous proofs

Data Visualization

Data Visualization

  • The grammar of graphics

  • At minimum you need:

    • data
    • aesthetic mappings
    • geometries
  • Take a sad plot and make it better by:

    • labels
    • themes
    • statistics
    • cooridnates
    • facets
    • transforming your data before plotting

You’re about to be reincaranted…

Do you want to come back as a…

  • Animal/Land dweller
  • Bird/Air dweller
  • Fish/Sea dweller
  • Insect
  • Plant
  • Single-celled organism

My undergrads are about to be reincarnated: HLO

library(tidyverse)
library(haven)
library(labelled)

load(url("https://pols2580.paultesta.org/files/data/wk04_df.rda"))

df$reincarnation
<labelled<double>[30]>: You're about to be re-incarnated. Do you want to come back as a:
 [1]  6  1  1  6  1  9  6  6  7 10  7  1  6  1  1  6  1  6  6  1  6  6  6  6  1
[26]  6  1  7  1  1

Labels:
 value               label
     1 Animal/land dweller
     6    Bird/air dweller
     7  Fish/water dweller
     2              Insect
     9               Plant
    10    Single-celled or
table(df$reincarnation)

 1  6  7  9 10 
12 13  3  1  1 

Basic Plot

  • Code
  • Figure
df %>%
  ggplot(aes(x = reincarnation, 
             fill = reincarnation))+
  geom_bar(
    stat = "count"
  ) 

Use a factor to label and order responses

  • Recode
  • Check recoding
df %>%
  mutate(
    # Turn numeric values into factor labels 
    Reincarnation = forcats::as_factor(reincarnation),
    # Order factor in decreasing frequency of levels
    Reincarnation = forcats::fct_infreq(Reincarnation),
    # Reverse order so levels are increasing in frequency
    Reincarnation = forcats::fct_rev(Reincarnation),
    # Rename explanations
    Why = reincarnation_why
  ) -> df
table(recode= df$Reincarnation, 
      original = df$reincarnation)
                     original
recode                 1  6  7  9 10
  Insect               0  0  0  0  0
  Single-celled or     0  0  0  0  1
  Plant                0  0  0  1  0
  Fish/water dweller   0  0  3  0  0
  Animal/land dweller 12  0  0  0  0
  Bird/air dweller     0 13  0  0  0

Revised figure

  • Code
  • Revised Figure
df %>% # Data
  # Aesthetics
  ggplot(aes(x = Reincarnation, 
             fill = Reincarnation))+
  # Geometry
  geom_bar(stat = "count")+ # Statistic
  ## Include levels of Reincarnation w/ no values
  scale_x_discrete(drop=FALSE)+
  # Don't include a legend
  scale_fill_discrete(drop=FALSE, guide="none")+
  # Flip x and y
  coord_flip()+
  # Remove lines
  theme_classic() -> fig1

What creature and why?

 

Adding labelled values

  • Recodes
  • Recode Output
  • Aggregate Data
df %>%
  mutate(
    # Create numeric id
    id = 1:n(),
    # Create a label with 3 answers and NA elsewhere
    Label = case_when(
      id == 10 ~ str_wrap(reincarnation_why[10],30),
      id == 20 ~ str_wrap(reincarnation_why[20],30),
      id == 18 ~ str_wrap(reincarnation_why[18],30),
      TRUE ~ NA_character_

    )

  ) -> df
 
# Calculate totals before calling ggplot
plot_df <- df %>%
  group_by(Reincarnation)%>%
  summarise( 
    Count = n(), 
    Why = unique(Label)
  ) %>% 
  ungroup() %>% 
  # Kludge to get rid of NA rows...
  slice(c(1,2,3,5,7))

You’re about to be reincarnated:

  • Aggregate df
  • Revised Figure Code
  • Labelled Figure
 
plot_df %>%
  ggplot(aes(x = Reincarnation, 
             y = Count,
             fill = Reincarnation, 
             label=Why))+
  geom_bar(stat = "identity")+ #<<
  ## Include levels of Reincarnation w/ no values
  scale_x_discrete(drop=FALSE)+
  # Don't include a legend
  scale_fill_discrete(drop=FALSE, guide="none")+
  coord_flip()+
  labs(x = "",y="",title="You're about to be reincarnated.\nWhat do you want to come back as?")+
  theme_classic()+
  ggrepel::geom_label_repel(
    fill="white",
    nudge_y = 1, 
    hjust = "left",
    size=3,
    arrow = arrow(length = unit(0.015, "npc"))
    )+ 
  scale_y_continuous(
    breaks = c(0,2,4,6,8,10,12),
    expand = expansion(add =c(0,6))
    ) -> fig1

Data visualization is an iterative process

  • Data visualization is an iterative process

  • Good data viz requires lots of data transformations

  • Start with a minimum working example and build from there

  • Don’t let the perfect be the enemy of the good enough.

Setup

New packages

This week’s lab we’ll be using the dataverse package to download data on presidential elections

Next week’s lab, we’ll be using the tidycensus package to download census data.

We’ll also need to install a census API to get the data.

Here’s a detailed guide of what we’ll do in class right now.

Install new packages

These packages are easier to install live:

install.packages("dataverse")
install.packages("tidycensus")
install.packages("easystats")
install.packages("DeclareDesign")

Census API

Please follow these steps so you can download data directly from the U.S. Census here:

  1. Install the tidycensus package
  2. Load the installed package
  3. Request an API key from the Census
  4. Check your email
  5. Activate your key
  6. Install your API key in R
  7. Check that everything worked

Packages for today

## Pacakges for today
the_packages <- c(
  ## R Markdown
  "kableExtra","DT","texreg",
  ## Tidyverse
  "tidyverse", "lubridate", "forcats", "haven", "labelled",
  ## Extensions for ggplot
  "ggmap","ggrepel", "ggridges", "ggthemes", "ggpubr", 
  "GGally", "scales", "dagitty", "ggdag", "ggforce",
  # Data 
  "COVID19","maps","mapdata","qss","tidycensus", "dataverse", 
  # Analysis
  "DeclareDesign", "easystats", "zoo"
)

## Define a function to load (and if needed install) packages

ipak <- function(pkg){
    new.pkg <- pkg[!(pkg %in% installed.packages()[, "Package"])]
    if (length(new.pkg)) 
        install.packages(new.pkg, dependencies = TRUE)
    sapply(pkg, require, character.only = TRUE)
}

## Install (if needed) and load libraries in the_packages
ipak(the_packages)
   kableExtra            DT        texreg     tidyverse     lubridate 
         TRUE          TRUE          TRUE          TRUE          TRUE 
      forcats         haven      labelled         ggmap       ggrepel 
         TRUE          TRUE          TRUE          TRUE          TRUE 
     ggridges      ggthemes        ggpubr        GGally        scales 
         TRUE          TRUE          TRUE          TRUE          TRUE 
      dagitty         ggdag       ggforce       COVID19          maps 
         TRUE          TRUE          TRUE          TRUE          TRUE 
      mapdata           qss    tidycensus     dataverse DeclareDesign 
         TRUE          TRUE          TRUE          TRUE          TRUE 
    easystats           zoo 
         TRUE          TRUE 

Previewing the Lab

Red Covid

Red Covid New York Times, 27 September, 2021

Red Covid, an Update New York Times, 18 February, 2022

Preview of the Lab

Please download the lab here

  • Conceptually, this lab is designed to help reinforce the relationship between linear models like y=β0+β1x and the conditional expectation function E[Y|X].

  • Substantively, we will explore whether David Leonhardt’s claims about Red Covid the political polarization of vaccines and its consequences

Lab: Questions 1-5: Review

Questions 1-5 are designed to reinforce your data wrangling skills. In particular, you will get practice:

  • Creating and recoding variables using mutate()
  • Calculating a moving average or rolling mean using the rollmean() function from the zoo package
  • Transforming the data on presidential elections so that it can be merged with the data on Covid-19 using the pivot_wider() function.
  • Merging data together using the left_join() function.

Lab: Questions 6-10: Simple Linear Regression

  • In question 6, you will see how calculating conditional means provides a simple test of “Red Covid” claim.

  • In question 7, you will see how a linear model returns the same information as these conditional means (in a sligthly different format)

  • In question 8, you will get practice interpreting linear models with continuous predictors (i.e. predictors that take on a range of values)

  • In question 9, you will get practice visualizing these models and using the figures help interpret your results substantively.

  • Question 10 asks you to play the role of a skeptic and consider what other factors might explain the relationships we found in Questions 6-9. We will explore these factors in next week’s lab.

Guidance

The following slides provide detailed explanations of all the code you’ll need for each question.

Q1: Setup your workspace

  • Task
  • Code for Q1

Q1 asks you to setup your workspace

This means loading and, if needed, installing the packages you will use.

## Pacakges for today
the_packages <- c(
  ## R Markdown
  "kableExtra","DT","texreg",
  ## Tidyverse
  "tidyverse", "lubridate", "forcats", "haven", "labelled",
  ## Extensions for ggplot
  "ggmap","ggrepel", "ggridges", "ggthemes", "ggpubr", 
  "GGally", "scales", "dagitty", "ggdag", "ggforce",
  # Data 
  "COVID19","maps","mapdata","qss","tidycensus", "dataverse", 
  # Analysis
  "DeclareDesign", "easystats", "zoo"
)

## Define a function to load (and if needed install) packages

ipak <- function(pkg){
    new.pkg <- pkg[!(pkg %in% installed.packages()[, "Package"])]
    if (length(new.pkg)) 
        install.packages(new.pkg, dependencies = TRUE)
    sapply(pkg, require, character.only = TRUE)
}

## Install (if needed) and load libraries in the_packages
ipak(the_packages)

Q2 Load the data

To explore Leonhardt’s claims about Red Covid, we’ll need data on:

  • Covid-19
  • The 2020 Presidential Election

Q2.1 Load the Covid-19 Data

To load data on Covid-19 just run this

load(url("https://pols2580.paultesta.org/files/data/covid.rda"))

Q2.2 Load Election Data

  • Task
  • Code for Q2.2

Q2.2. asks you to write code that will download data presidential elections from 1976 to 2020 from the MIT Election Lab’s dataverse

  • Once you’ve installed the dataverse package you should be able to do this:
# Try this code first
Sys.setenv("DATAVERSE_SERVER" = "dataverse.harvard.edu")

pres_df <- dataverse::get_dataframe_by_name(
  "1976-2020-president.tab",
  "doi:10.7910/DVN/42MVDX"
)

# If the code above fails, comment out and uncomment the code below:

# load(url("https://pols2580.paultesta.org/files/data/pres_df.rda"))

Q3 Describe the structure of each dataset

Question 3 asks you to describe the structure of each dataset.

  • Specifically, it asks you to get a high level overview of covid and pres_df and describe the unit of observation in each dataset:
    • Describe substantively what specific, observation each row in the dataset corresponds to
    • In covid covid dataset, the unit of observation is a state-date

Q3 Describe the structure of each dataset

Here’s some possible code you could use to get a quick HLO of each dataset:

  • HLO covid
  • HLO pres_df
# check names in `covid`
names(covid)

# take a quick look values of each variable

glimpse(covid)

# Look at first few observations for:
# date, administrative_area_level_2, 

covid %>% 
  select(date, administrative_area_level_2) %>%
  head()

# Summarize data to get a better sense of the unit of observastion

covid %>% 
  group_by(administrative_area_level_2) %>%
  summarise(
    n = n(), # Number of observations for each state
    start_date = min(date, na.rm = T),
    end_date = max(date, na.rm=T)
  ) -> hlo_covid_df

hlo_covid_df


# How many unique values of date and state are their:

n_dates <- length(unique(covid$date))
n_states <- length(unique(covid$administrative_area_level_2))
n_dates
n_states

# If we had observations for every state on every date then the number of rows 
# in the data 
dim(covid)[1]
# Should equal
dim(covid)[1] == n_dates * n_states

# This is what economists would call an unbalanced panel
# check names in `pres_df`
names(pres_df)

# take a quick look values of each variable

glimpse(pres_df)

# Unit of analysis is a year-state-candidate
pres_df %>% 
  select(year, state_po, candidate) %>%
  head()

# How many states?
length(unique(pres_df$state_po))



# How many candidates and parties on the ballot in a given election year
pres_df %>% 
  group_by(year) %>%
  summarise(
    n_candidates = length(unique(candidate)),
    # Look at both party_detailed and party_simplified
    n_parties_detailed = length(unique(party_detailed)),
    n_parties_simplified = length(unique(party_simplified))
  ) -> hlo_pres_df
hlo_pres_df

# Look at 2020
# pres_df$candidate[pres_df$year == "2020"]

Q4 Recode the data for analysis

Using our understanding of the structure of the data, Q4 asks you to:

  • Recode the Covid-19 data like we’ve done before plus
  • Calculate rolling means, 7 and 14 day averages
  • Reshape, recode, and filter the presidential election data

Q4.1 Recode the Covid-19

  • Task
  • Code for Q4.1
  • Template Code for Q4.2

This is the same code we’ve used before to create covid_us from covid with the addition of code to calculate a rolling mean or moving average of the number of new cases

# Create a vector containing of US territories
territories <- c(
  "American Samoa",
  "Guam",
  "Northern Mariana Islands",
  "Puerto Rico",
  "Virgin Islands"
  )

# Filter out Territories and create state variable
covid_us <- covid %>%
  filter(!administrative_area_level_2 %in% territories)%>%
  mutate(
    state = administrative_area_level_2
  )

# Calculate new cases, new cases per capita, and 7-day average

covid_us %>%
  dplyr::group_by(state) %>%
  mutate(
    new_cases = confirmed - lag(confirmed),
    new_cases_pc = new_cases / population *100000,
    new_cases_pc_7da = zoo::rollmean(new_cases_pc, 
                                     k = 7, 
                                     align = "right",
                                     fill=NA )
    ) -> covid_us

# Recode facemask policy

covid_us %>%
mutate(
  # Recode facial_coverings to create face_masks
    face_masks = case_when(
      facial_coverings == 0 ~ "No policy",
      abs(facial_coverings) == 1 ~ "Recommended",
      abs(facial_coverings) == 2 ~ "Some requirements",
      abs(facial_coverings) == 3 ~ "Required shared places",
      abs(facial_coverings) == 4 ~ "Required all times",
    ),
    # Turn face_masks into a factor with ordered policy levels
    face_masks = factor(face_masks,
      levels = c("No policy","Recommended",
                 "Some requirements",
                 "Required shared places",
                 "Required all times")
    ) 
    ) -> covid_us

# Create year-month and percent vaccinated variables

covid_us %>%
  mutate(
    year = year(date),
    month = month(date),
    year_month = paste(year, 
                       str_pad(month, width = 2, pad=0), 
                       sep = "-"),
    percent_vaccinated = people_fully_vaccinated/population*100  
    ) -> covid_us
# Calculate new cases, new cases per capita, and 7-day average

covid_us %>%
  dplyr::group_by(state) %>%
  mutate(
    new_cases = confirmed - lag(confirmed),
    new_cases_pc = new_cases / population *100000,
    new_cases_pc_7day = zoo::rollmean(new_cases_pc, 
                                     k = 7, 
                                     align = "right",
                                     fill=NA )
    ) -> covid_us

Q4.2 Calculate Rolling Means of Covid Deaths

  • Task
  • Code for Q4.2

Q4.2 asks you to create new measures of the 7-day and 14-day averages of new deaths from Covid-19 per 100,000 residents

It encourages you to use the code new_cases_pc_7da as a template

To build your coding skills, try writing this yourself, then comparing it to the code in the next tab:

covid_us %>%
  dplyr::group_by(state) %>%
  mutate(
    new_deaths = deaths - lag(deaths),
    new_deaths_pc = new_deaths / population *100000,
    new_deaths_pc_7day = zoo::rollmean(new_deaths_pc, 
                                     k = 7, 
                                     align = "right",
                                     fill=NA ),
    new_deaths_pc_14day = zoo::rollmean(new_deaths_pc, 
                                     k = 14, 
                                     align = "right",
                                     fill=NA )
    ) -> covid_us

Rolling Averages

The next slides aren’t necessary for the lab but are designed to illustrate:

  • the concept of a rolling mean
  • what the code does
  • why might prefer rolling averages over daily values

Look at the output of zoo::rollmean()

covid_us %>%
  filter(date > "2020-03-05") %>%
  select(date,new_cases_pc,new_cases_pc_7day)
# A tibble: 52,580 × 4
# Groups:   state [51]
   state     date       new_cases_pc new_cases_pc_7day
   <chr>     <date>            <dbl>             <dbl>
 1 Minnesota 2020-03-06      NA                NA     
 2 Minnesota 2020-03-07       0                NA     
 3 Minnesota 2020-03-08       0.0177           NA     
 4 Minnesota 2020-03-09       0                NA     
 5 Minnesota 2020-03-10       0.0177           NA     
 6 Minnesota 2020-03-11       0.0355           NA     
 7 Minnesota 2020-03-12       0.0709           NA     
 8 Minnesota 2020-03-13       0.0887            0.0329
 9 Minnesota 2020-03-14       0.124             0.0507
10 Minnesota 2020-03-15       0.248             0.0836
# ℹ 52,570 more rows

Comparing Daily Cases to Rolling Average

The following code illustrates how a 7-day rolling mean smooths (new_cases_pc_7da) over the noisiness of the daily measure

  • Code
  • Figure
covid_us %>%
  filter(date > "2020-03-05", 
         state == "Minnesota") %>%
  select(date,
         new_cases_pc,
         new_cases_pc_7day)%>%
  ggplot(aes(date,new_cases_pc ))+
  geom_line(aes(col="Daily"))+
  # set y aesthetic for second line of rolling average
  geom_line(aes(y = new_cases_pc_7day,
                col = "7-day average")
            ) +
  theme(legend.position="bottom")+
    labs( col = "Measure",
    y = "New Cases Per 100k", x = "",
    title = "Minnesota"
  ) -> fig_covid_mn 

Q4.3 Recode Presidential data

  • Task
  • Code for Q4.3

Q4.3 Gives you a long list of steps to recode, reshape, and filter pres_df to produce pres_df2020

Most of this is review but it can seem like a lot.

Walk through the provided code and see if you can map each conceptual step in Q4.3 to its implementation in the code

pres_df %>%
  mutate(
    year_election = year,
    state = str_to_title(state),
    # Fix DC
    state = ifelse(state == "District Of Columbia", "District of Columbia", state)
  ) %>%
  filter(party_simplified %in% c("DEMOCRAT","REPUBLICAN"))%>%
  filter(year == 2020) %>%
  select(state, state_po, year_election, party_simplified, candidatevotes, totalvotes
         ) %>%
  pivot_wider(names_from = party_simplified,
              values_from = candidatevotes) %>%
  mutate(
    dem_voteshare = DEMOCRAT/totalvotes *100,
    rep_voteshare = REPUBLICAN/totalvotes*100,
    winner = forcats::fct_rev(factor(ifelse(rep_voteshare > dem_voteshare,"Trump","Biden")))
  ) -> pres2020_df

# Check Output:

glimpse(pres2020_df)
Rows: 51
Columns: 9
$ state         <chr> "Alabama", "Alaska", "Arizona", "Arkansas", "California"…
$ state_po      <chr> "AL", "AK", "AZ", "AR", "CA", "CO", "CT", "DE", "DC", "F…
$ year_election <dbl> 2020, 2020, 2020, 2020, 2020, 2020, 2020, 2020, 2020, 20…
$ totalvotes    <dbl> 2323282, 359530, 3387326, 1219069, 17500881, 3279980, 18…
$ DEMOCRAT      <dbl> 849624, 153778, 1672143, 423932, 11110250, 1804352, 1080…
$ REPUBLICAN    <dbl> 1441170, 189951, 1661686, 760647, 6006429, 1364607, 7147…
$ dem_voteshare <dbl> 36.56999, 42.77195, 49.36469, 34.77506, 63.48395, 55.011…
$ rep_voteshare <dbl> 62.031643, 52.833143, 49.055981, 62.395730, 34.320724, 4…
$ winner        <fct> Trump, Trump, Biden, Trump, Biden, Biden, Biden, Biden, …

Q5 merging data

  • Task
  • Merge election data into Covid data

Q5 asks you to merge the 2020 election data from pres2020_df into covid_us using the common state variable in each dataset using the function left_join()

dim(covid_us)
[1] 53678    61
dim(pres2020_df)
[1] 51  9
covid_us <- covid_us %>% left_join(
  pres2020_df,
  by = c("state" = "state")
)
dim(covid_us) 
[1] 53678    69

Advice for merging

  • Advice
  • Illustration

When merging datasets:

  • Check the matches in your joining variables
    • Make sure the values state are the same in each dataset
    • Check for differences in spelling, punctuation, etc.
  • Check the dimensions of output of your left_join()
    • If there is a 1-1 match the number of rows should be the same before after

Tip

In general (although not in my sample code), you should save the merged data to a new object in R. Saving it back into an existing object can cause issues if you run the merge code multiple times by mistake.

# Should be 51 states and DC in each
sum(unique(pres_df$state) %in% covid_us$state)
[1] 0
# Look at each state variable
## With [] index
pres_df$state[1:5]
[1] "ALABAMA" "ALABAMA" "ALABAMA" "ALABAMA" "ALABAMA"
covid_us$state[1:5]
[1] "Minnesota" "Minnesota" "Minnesota" "Minnesota" "Minnesota"
# Matching is case sensitive 

# make pres_df$state title case

## Base R:
pres_df$state <- str_to_title(pres_df$state )
## Tidy R:
pres_df %>% 
  mutate(
    state = str_to_title(state )
  ) -> pres_df

# Should be 51
sum(unique(pres_df$state) %in% covid_us$state)
[1] 50
# Find the mismatch:
unique(pres_df$state[!pres_df$state %in% covid_us$state])
[1] "District Of Columbia"
# Two equivalent ways to fix this mismatch
## Base R: Quick fix to change spelling of DC
pres_df$state[pres2020_df$state == "District Of Columbia"] <- "District of Columbia"

## Tidy R: Quick fix to change spelling of DC

pres_df %>% 
  mutate(
    state = ifelse(test = state == "District Of Columbia",
                   yes = "District of Columbia",
                   no = state
                   )
  ) -> pres_df


# Problem Solved
sum(unique(pres2020_df$state) %in% covid_us$state)
[1] 51

Causal Inference

Causal inference is about counterfactual comparisons

  • Causal inference is about counterfactual comparisons

    • What would have happened if some aspect of the world either had or had not been present

Causal Identification

  • Casual Identification refers to “the assumptions needed for statistical estimates to be given a causal interpretation” [Keele (2015)]

    • What do we need to assume to make our claims about cause and effect credible
  • Experimental Designs rely on randomization of treatment to justify their causal claims

  • Observational Designs require additional assumptions and knowledge to make causal claims

Experimental Designs

  • Experimental designs are studies in which a causal variable of interest, the treatement, is manipulated by the researcher to examine its causal effects on some outcome of interest

  • Random assignment is the key to causal identification in experiments because it creates statistical independence between treatment and potential outcomes any potential confounding factors

⫫Yi(1),Yi(0),Xi,Ui⫫Di

Randomization creates credible counterfactual comparisons

If treatment has been randomly assigned, then:

  • The only thing that differs between treatment and control is that one group got the treatment, and another did not.
  • We can estimate the Average Treatment Effect (ATE) using the difference of sample means

E[∑1mYim−∑m+1NYiN−m]=E[∑1mYim]⏞Average outcomeamong treatedunits−E[∑m+1NYiN−m]⏞Average outcomeamong controlunits=E[Yi(1)|Di=1]−E[Yi(0)|Di=0]

Observational Designs

  • Observational designs are studies in which a causal variable of interest is determined by someone/thing other than the researcher (nature, governments, people, etc.)

  • Since treatment has not been randomly assigned, observational studies typically require stronger assumptions to make causal claims.

  • Generally speaking, these assumptions amount to a claim about conditional independence

⫫Yi(1),Yi(0),Xi,Ui⫫Di|Ki

  • Where after conditioning on Ki, some knowledge about the world and how the data were generated, our treatment is as good as (as-if) randomly assigned (hence conditionally independent)
    • Economists often call this assumption of selection on observables

Causal Inference in Observational Studies

To understand how to make causal claims in observational studies we will:

  • Introduce the concept of Directed Acyclic Graphs to describe causal relationships

  • Discuss three approaches to covariate adjustment

    • Subclassification
    • Matching
    • Linear Regression
  • Three research designs for observational data

    • Differences-in-Differences
    • Regression Discontinuity Designs
    • Instrumental Variables

Directed Acyclic Graphs

Two Ways to Describe Causal Claims

In this course, we will use two forms of notation to describe our causal claims.

  • Potential Outcomes Notation (last lecture)

    • Illustrates the fundamental problem of causal inference
  • Directed Acyclic Graphs (DAGs)

    • Illustrates potential bias from confounders and colliders

Directed Acyclic Graphs

  • Directed Acyclic Graphs provide a way of encoding assumptions about casual relationships

    • Directed Arrows → describe a direct causal effect

    • Arrow from D→Y means Yi(d)≠Yi(d′) “The outcome ( Y) for person i when D happens ( Yi(d) ) is different than the the outcome when D doesn’t happen ( Yi(d′) )

    • No arrow = no effect ( Yi(d)=Yi(d′) )

    • Acyclic: No cycles. A variable can’t cause itself

Types of variables in a DAG

  • DAG
  • Variables

Blair, Coppock, and Humphreys (2023) (Chap. 6.2)

Causal Explanations Involve:

  • Y our outcome
  • D A possible cause of Y
  • M A mediator or mechanism through which D effects Y
  • Z An instrument that can help us isolate the effects of D on Y
  • X2 a covariate that may moderate the effect of D on Y

Threats to causal claims/Sources of bias:

  • X1 an observed confounder that is a common cause of both D & Y
  • U an unobserved confounder a common cause of both D & Y
  • K a collider that is a common consequence of both D & Y

DAGs illustrate two sources of bias:

  • Confounder bias: Failing to control for a common cause of D and Y (aka Omitted Variable Bias)

  • Collider bias: Controlling for a common consequence (aka Selection Bias1)

  1. Note in practice there’s some slippage/debate/disagreement around this nomenclature

Confounding Bias: The Coffee Example

  • Confounding Bias
  • Coffee and Cancer
  • Adjusting for Smoking
  • Drinking coffee doesn’t cause lung cancer we might find correlation between them because they share a common cause: smoking.

  • Smoking is a confounding variable, that if omitted will bias our results producing a spurious relationship

  • Adjusting for confounders removes this source of bias

Collider Bias: The Dating Example

  • Collider bias
  • Selection bias
  • No relationship in population
  • Why are attractive people such jerks?

  • Suppose dating is a function of looks and personality

  • Dating is a common consequences of looks and personality

  • Basing our claim off of who we date is an example of selection bias created by controlling for collider

When to control for a variable:

(Blair, Coppock, and Humphreys 2023) (Chap. 6.2)

Covariate Adjustment

Covariate Adjustment

Covariate adjustment refers a broad class of procedures that try to make a comparison more credible or meaningful by adjusting for some other potentially confounding factor.

Covariate Adjustment

When you hear people talk about

  • Controlling for age
  • Conditional on income
  • Holding age and income constant
  • Ceteris paribus (All else equal)

They are typically talking about some sort of covariate adjustment.

Three approaches to covariate adjustment

  • Subclassification

  • Matching

  • Regression

Causal Identification through Subclassification

Motivation: Treatment, D is not randomly assigned

Yi(1),Yi(0) is not⊥Di

Identifying assumptions

Yi(1),Yi(0)⊥Di|XiSelection on Observables0<Pr(Di=1|Xi)<1Common Support

Causal Identification through Subclassification

If these assumptions hold, we can estimate the average treatment effect:

ATE=E[Yi(1)−Yi(0)|Xi]=E[Yi(1)−Yi(0)|Xi,Di=1]=E[Yi|Xi,Di=1]−E[Yi|Xi,Di=0]

The average treatment effect is identified by the observed difference of means between treatment and control conditional on the values of X

Causal Identification through Subclassification

  • Economists call Yi(1),Yi(0)⊥Di|Xi an assumption of Selection on Observables

    • Controlling for what we can observe, X, D is conditionally independent of Potential Outcomes

    • Violated if there were some other factor, U that influenced both D and Y (i.e. U is a confounder)

  • 0<Pr(D=1|X)<1 is called an assumption of Common Support

    • There is a non-zero probability of receiving the treatment for all values of X

    • Violated if only one subgroup had access to the treatment (e.g. Vaccine by age group comparisons)

Example of Subclassification

  • We used subclassification when we compared the unconditional rates of new Covid-19 cases by face mask policy to the conditional rates new cases by policy regime in each month of our data.
    • Overall rates are misleading.
    • Lots of things differ between January 2020 and January 2022
    • Subclassification by month provides a “fairer” comparison
    • But is it “causal”

Limits of Subclassification

  • Even controlling for “month” there are other omitted variables:
    • Other policies in place?
    • Socio-economic differences between states
    • Others?
  • Trying to subclassify (stratify) comparisons on more than one or two variables gets hard
    • The Curse of Dimensionality

The Curse of Dimensionality

  • As we try to control for more factors, the number of observations per dimension declines rapidly
    • Men vs Women
    • Men, ages 20-30 vs Men ages 30-40
    • Men, ages 20-30 with college degrees and blue eyes vs Men ages 20-30 with college degrees and green eyes
  • Subclassification with more than a few variables, will often produce a lack of common support:
    • Not enough observations to make credible counterfactual comparisons

Matching

  • Matching refers to a broad set of procedures that essentially try to generalize subclassification to
    • address to curse of dimensionality
    • achieve balance on a range of observable covariates between treated and control groups

Matching

Different types of matching procedures:

  • Exact matching: Find exact matches between treatment and control observations for all covariates X

  • Coarsened exact matching: Find approximate matches within ranges of values for X

  • Distance-metric matching: Calculate a distance metric between observations based on their values of X, and match treated and control to minimize that distance

  • Propensity score matching: Calculate the propsenity to receive treatment using X to predict D and treated and control based on their propensity scores

Source

Causal Identification with Matching (ICYI)

Matching again requires an assumption of selection on observables

Yi(1),Yi(0)⊥Di|XiSelection on Observables0<Pr(Di=1|Xi)<1Common Support

Matching procedures like propensity score matching, allow us to match treated and control observations based on a propensity score, a predicted value of receiving the treatment, D based on observed variables, X.

p(Xi)=Pr(D=1|Xi)=πi

Allowing us to estimate an ATE conditional on πi

ATE=E[Yi(1)−Yi(0)|p(Xi)=πi]=E[Yi(1)−Yi(0)|p(Xi)=πi,Di=1]=E[Yi|p(Xi)=πi,Di=1]−E[Yi|p(Xi)=πi,Di=0]

What to Know about Matching

  • The mechanics of matching are beyond the scope of this course

  • Just think of it as a generalization of subclassification when we want to condition on multiple variables

  • “Solves” the curse of dimensionality, creating Treatment-Control comparisons between groups that are similar on observed covariates

  • But no guarantee that matching produces balance on unobserved covariates.

Regression

  • We will spend the next two weeks talking in detail about regression, in general and linear regression in particular.

  • Today we’ll introduce some basic notation and simple examples

  • Conceptually, think of regression as

    • a tool to make predictions
    • by fitting lines to data
  • Theoretically, we will build towards an understanding of linear regression as a “linear estimate of the conditional expectation function (CEF=E[Y|X])

Three approaches to covariate adjustment

  • Subclassification
    • 👍: Easy to implement and interpret
    • 👎: Curse of dimensionality, Selection on observables,
  • Matching
    • 👍: Balance on multiple covariates, Mirrors logic of experimental design, Fewer functional form assumptions
    • 👎: Selection on observables, Only provides balance on observed variables, Lot’s of technical details…
  • Regression
    • 👍: Easy to implement, control for many factors (good and bad)
    • 👎: Selection on observables, Assumes a linear functional form, easy to fit “bad” models

Simple Linear Regression

Understanding Linear Regression

  • Conceptual
    • Simple linear regression estimates “a line of best fit” that summarizes relationships between two variables

yi=β0+β1xi+ϵi

  • Practical
    • We estimate linear models in R using the lm() function
lm(y ~ x, data = df)

Understanding Linear Regression

  • Technical/Definitional
    • Linear regression chooses β0 and β1 to minimize the Sum of Squared Residuals (SSR):

Find β0^,β1^ arg minβ0,β1∑(yi−(β0+β1xi))2

  • Theoretical
    • Linear regression provides a linear estimate of the conditional expectation function (CEF): E[Y|X]

Conceptual: Linear Regression

Conceptual: Linear Regression

  • Regression is a tool for describing relationships.

    • How does some outcome we’re interested in tend to change as some predictor of that outcome changes?

    • How does economic development vary with democracy?

    • How does economic development vary with democracy, adjusting for natural resources like oil and gas

Conceptual: Linear Regression

More formally:

yi=f(xi)+ϵ

  • Y is a function of X plus some error, ϵ

  • Linear regression assumes that relationship between an outcome and a predictor can be by a linear function

yi=β0+β1xi+ϵ

Linear Regression and the Line of Best Fit

  • The goal of linear regression is to choose coefficients β0 and β1 to summarizes the relationship between y and x

yi=β0+β1xi+ϵ

  • To accomplish this we need some sort of criteria.

  • For linear regression, that criteria is minimizing the error between what our model predicts yi^=β0+β1xi and what we actually observed (yi)

  • More on this to come. But first…

Regression Notation

  • yi an outcome variable or thing we’re trying to explain

    • AKA: The dependent variable, The response Variable, The left hand side of the model
  • xi a predictor variables or things we think explain variation in our outcome

    • AKA: The independent variable, covariates, the right hand side of the model.

    • Cap or No Cap: I’ll use X (should be X) to denote a set (matrix) of predictor variables. y vs Y can also have technical distinctions (Sample vs Population, observed value vs Random Variable, …)

  • β a set of unknown parameters that describe the relationship between our outcome yi and our predictors xi

  • ϵ the error term representing variation in yi not explained by our model.

    • Technically ϵ refers to theoretical error inherent to the data generating process, while ϵ^i or ui is used to refer to residuals, an estimated error that reflects the difference between the observed (yi) and predicted (y^i) values.

Linear Regression

  • We call this a bivariate regression, because there are only two variables

yi=β0+β1xi+ϵ

  • We call this a linear regression, because yi=β0+β1xi is the equation for a line, where:

    • β0 corresponds to the y intercept, or the model’s prediction when x=0.

    • β1 corresponds to the slope, or how y is predicted to change as x changes.

Linear Regression

  • If you find this notation confusing, try plugging in substantive concepts for what y and x represent
  • Say we wanted to know how attitudes to transgender people varied with age in the baseline survey from Lab 03.

The generic linear model

yi=β0+β1xi+ϵ

Reflects:

Transgender Feeling Thermometeri=β0+β1Agei+ϵi

Practical: Estimating a Linear Regression

Practical: Estimating a Linear Regression

  • We estimate linear regressions in R using the lm() function.
  • lm() requires two arguments:
    • a formula argument of the general form y ~ x read as “Y modeled by X” or below “Transgender Feeling Thermometer (y) modeled by (~) Age (x)
    • a data argument telling R where to find the variables in the formula
load(url("https://pols2580.paultesta.org/files/data/03_lab.rda"))
m1 <- lm(therm_trans_t0 ~ vf_age, data = df)
m1

Call:
lm(formula = therm_trans_t0 ~ vf_age, data = df)

Coefficients:
(Intercept)       vf_age  
    62.8196      -0.2031  

The lm() function

The coefficients from lm() are saved in object called m1

m1

Call:
lm(formula = therm_trans_t0 ~ vf_age, data = df)

Coefficients:
(Intercept)       vf_age  
    62.8196      -0.2031  

m1 actually contains a lot of information

names(m1)
 [1] "coefficients"  "residuals"     "effects"       "rank"         
 [5] "fitted.values" "assign"        "qr"            "df.residual"  
 [9] "na.action"     "xlevels"       "call"          "terms"        
[13] "model"        
m1$coefficients
(Intercept)      vf_age 
 62.8195994  -0.2030711 

Practical: Interpreting a Linear Regression

We can extract the intercept and slope from this simple bivariate model, using the coef() function

# All the coefficients
coef(m1)
(Intercept)      vf_age 
 62.8195994  -0.2030711 
# Just the intercept
coef(m1)[1]
(Intercept) 
    62.8196 
# Just the slope
coef(m1)[2]
    vf_age 
-0.2030711 

Practical: Interpreting a Linear Regression

The two coefficients from m1 define a line of best fit, summarizing how feelings toward transgender individuals change with age

yi=β0+β1xi+ϵ

Transgender Feeling Thermometeri=β0+β1Agei+ϵi

Transgender Feeling Thermometeri=62.82+−0.2Agei+ϵi

Practical: Predicted values from a Linear Regression

  • Often it’s useful for interpretation to obtain predicted values from a regression.

  • To obtain predicted vales (y^), we simply plug in a value for x (In this case, Age) and evaluate our equation.

  • For example, might we expect attitudes to differ among an 18-year-old college student and their 68-year-old grandparent?

FT^x=18=62.82+−0.2×18=59.16 FT^x=65=62.82+−0.2×68=49.01

Practical: Predicted values from a Linear Regression

We could do this by hand

coef(m1)[1] + coef(m1)[2] * 18
(Intercept) 
   59.16432 
coef(m1)[1] + coef(m1)[2] * 68
(Intercept) 
   49.01076 

Practical: Predicted values from a Linear Regression

More often we will:

  • Make a prediction data frame (called pred_df below) with the values of interests
  • Use the predict() function with our linear model (m1) and pred_df
  • Save the predicted values to our new column in our prediction data frame

Practical: Predicted values from a Linear Regression

# Make prediction data frame
pred_df <- data.frame(
  vf_age = c(18, 68)
)
# Predict FT for 18 and 68 year-olds
predict(m1, newdata = pred_df)
       1        2 
59.16432 49.01076 
# Save predictions to data frame
pred_df$ft_trans_hat <- predict(m1, newdata = pred_df)
pred_df
  vf_age ft_trans_hat
1     18     59.16432
2     68     49.01076

Practical: Visualizing Linear Regression

  • Concept
  • Code
  • Intercept
  • Slope
  • Errors

We can visualize simple regression by:

  • plotting a scatter plot of the outcome (y-axis) and predictors (x-axis)

  • overlaying the line defined by lm()

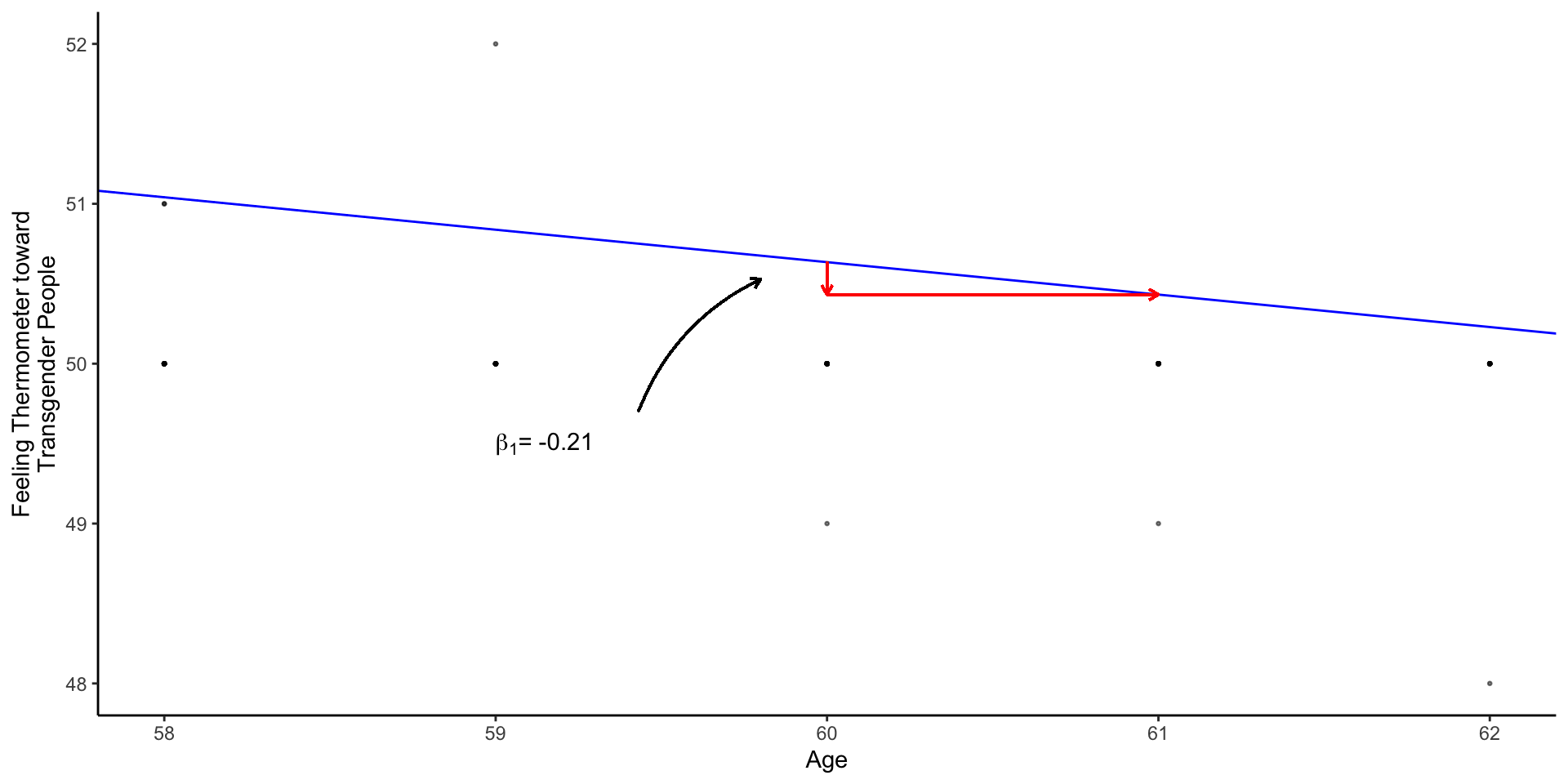
fig_lm <- df %>%
  ggplot(aes(vf_age,therm_trans_t0))+
  geom_point(size=.5, alpha=.5)+
  geom_abline(intercept = coef(m1)[1],
              slope = coef(m1)[2],
              col = "blue"
              )+
  geom_vline(xintercept = 0,linetype = 2)+
  xlim(0,100)+
  annotate("point",
           x = 0, y = coef(m1)[1],
           col= "red",
           )+
  annotate("text",
           label = expression(paste(beta[0],"= 62.81" )),
           x = 1, y = coef(m1)[1]+5,
           hjust = "left",
           )+
  labs(
    x = "Age",
    y = "Feeling Thermometer toward\nTransgender People"
  )+
  theme_classic() -> fig_lm

Technichal: Mechanics of Linear Regression

How did lm() choose β0 and β1

  • P: By minimizing the sum of squared errors, in procedure called Ordinary Least Squares (OLS) regression

  • Q: Ok, that’s not really that helpful…

    • What’s an error?
    • Why would we square and sum them
    • How do we minimize them.

P: Good questions!

What’s an error?

An error, ϵi is simply the difference between the observed value of yi and what our model would predict, yi^ given some value of xi. So for a model:

yi=β0+β1xi+ϵi

We simply subtract our model’s prediction β0+β1xi from the the observed value, yi

ϵi^=yi−yi^=(Yi−(β0+β1xi))

To get ϵi

Why are we squaring and summing ϵ

There are more mathy reasons for this, but at intuitive level, the Sum of Squared Residuals (SSR)

  • Squaring ϵ treats positive and negative residuals equally.

  • Summing produces single value summarizing our models overall performance.

There are other criteria we could use (e.g. minimizing the sum of absolute errors), but SSR has some nice properties

How do we minimize ∑ϵ2

OLS chooses β0 and β1 to minimize ∑ϵ2, the Sum of Squared Residuals (SSR)

Find β0^,β1^ arg minβ0,β1∑(yi−(β0+β1xi))2

How did lm() choose β0 and β1

In an intro stats course, we would walk through the process of finding

Find β0^,β1^ arg minβ0,β1∑(yi−(β0+β1xi))2 Which involves a little bit of calculus. The big payoff is that

β0=y¯−β1x¯ And

β1=Cov(x,y)Var(x) Which is never quite the epiphany, I think we think it is…

The following slides walk you through the mechanics of this exercise. We’re gonna skip through them in class, but they’re there for your reference

How do we minimize ∑ϵ2

To understand what’s going on under the hood, you need a broad understanding of some basic calculus.

The next few slides provide a brief review of derivatives and differential calculus.

Derivatives

The derivative of f at x is its rate of change at x

  • For a line: the slope
  • For a curve: the slope of a line tangent to the curve

You’ll see two notations for derivatives:

  1. Leibniz notation:

dfdx(x)=limh→0f(x+h)−f(x)(x+h)−x

  1. Lagrange: f′(x)

Some useful facts about derivatives

Derivative of a constant

f′(c)=0

Derivative of a line f(x)=2x

f′(2x)=2

Derivative of f(x)=x2

f′(x2)=2x

Chain rule: y= f(g(x)). The derivative of y with respect to x is

ddx(f(g(x)))=f′(g(x))g′(x)

The derivative of the “outside” times the derivative of the “inside,” remembering that the derivative of the outside function is evaluated at the value of the inside function.

Finding a Local Minimums

Local minimum:

f′(x)=0 and f′′(x)>0

Source

Partial Derivatives

Let f be a function of the variables (x,…,Xn). The partial derivative of f with respect to Xi is

∂f(x,…,Xn)∂Xi=limh→0f(x,…Xi+h…,Xn)−f(x,…Xi…,Xn)h

Source

Minimizing the sum of squared errors

Our model

yi=β0+β1xi+ϵi

Finds coefficients β0 and β1 to to minimize the sum of squared residuals, ϵ^i:

∑ϵi^2=∑(yi−β0−β1xi)2

Minimizing the sum of squared errors

We solve for β0 and β1, by taking the partial derivatives with respect to β0 and β1, and setting them equal to zero

∂∑ϵi^2∂β0=−2∑(yi−β0−β1xi)=0f′(−x2)=−2x∂∑ϵi^2∂β1=−2∑(yi−β0−β1xi)xi=0chain rule

Solving for β0

First, we’ll solve for β0, by multiplying both sides by -1/2 and distributing the ∑:

0=−2∑(yi−β0−β1xi)∑β0=∑yi−∑β1xiNβ0=∑yi−∑β1xiβ0=∑yiN−β1∑xiNβ0=y¯−β1x¯

Solving for β1

Now, we can solve for β1 plugging in β0.

0=−2∑[(yi−β0−β1xi)xi]0=∑[yixi−(y¯−β1x¯)xi−β1xi2]0=∑[yixi−y¯xi+β1x¯xi−β1xi2]

Solving for β1

Now we’ll rearrange some terms and pull out an xi to get

0=∑[(yi−y¯+β1x¯−β1xi)xi]

Dividing both sides by xi and distributing the summation, we can isolate β1

β1∑(xi−x¯)=∑(yi−y¯)

Dividing by ∑(xi−x¯) to get

β1=∑(yi−y¯)∑(xi−x¯)

Solving for β1

Finally, by multiplying by (xi−x¯)(xi−x¯) we get

β1=∑(yi−y¯)(xi−x¯)∑(x¯−xi)2

Which has a nice interpretation:

β1=Cov(x,y)Var(x)

So the coefficient in a simple linear regression of Y on X is simply the ratio of the covariance between X and Y over the variance of X. Neat!

Theoretical: OLS provides a linear estimate of CEF: E[Y|X]

Linear Regression is a many splendored thing

Timothy Lin provides a great overview of the various interpretations/motivations for linear regression.

  • A least squares estimator

  • A linear projection of y on the subspace spanned by Xβ

  • A method of moments estimator

  • A maximum likelihood estimator

  • A singular vector decomposition

  • A linear approximation of the conditional expectation function

Linear Regression is a many splendored thing

Timothy Lin provides a great overview of various interpretations/motivations for linear regression.

  • A least squares estimator

  • A linear projection of y on the subspace spanned by Xβ

  • A method of moments estimator

  • A maximum likelihood estimator

  • A singular vector decomposition

  • A linear approximation of the conditional expectation function

The Conditional Expectation Function

Of all the functions we could choose to describe the relationship between Y and X,

Yi=f(Xi)+ϵi

the conditional expectation of Y given X (E[Y|X]), has some appealing properties

Yi=E[Yi|Xi]+ϵ

The error, by definition, is uncorrelated with X and E[ϵ|X]=0

E[ϵ|X]=E[Y−E[Y|X]|X]=E[Y|X]−E[Y|X]=0

Of all the possible functions g(X), we can show that E[Yi|Xi] is the best predictor in terms of minimizing mean squared error

E[(Y−g(Y))2]≥E[(Y−E[Y|X])2]

Linear Approximations to the Conditional Expectation Function

  • Concept
  • CEF
  • OLS
  • We can then show (in a different class) that linear regression provides the best linear predictor of the CEF
    • Chapter 3, of Mostly Harmless Econometrics
    • Chapter 4 of Foundations of Agnostic Statistics
  • Furthermore, when the CEF is linear, it’s equal exactly to OLS regression

What you need to know about Regression

  • Conceptual
    • Simple linear regression estimates a line of best fit that summarizes relationships between two variables

yi=β0+β1xi+ϵi

  • Practical
    • We estimate linear models in R using the lm() function
lm(y ~ x, data = df)

What you need to know about Regression

  • Technical/Definitional
    • Linear regression chooses β0 and β1 to minimize the Sum of Squared Residuals (SSR):

Find β0^,β1^ arg minβ0,β1∑(yi−(β0+β1xi))2

  • Theoretical
    • Linear regression provides a linear estimate of the conditional expectation function (CEF): E[Y|X]

Difference-in-Differences

Motivating Example: What causes Cholera?

  • In the 1800s, cholera was thought to be transmitted through the air.

  • John Snow (the physician, not the snack), to explore the origins eventunally concluding that cholera was transmitted through living organisms in water.

  • Leveraged a natural experiment in which one water company in London moved its pipes further upstream (reducing contamination for Lambeth), while other companies kept their pumps serving Southwark and Vauxhall in the same location.

Notation

Let’s adopt a little notation to help us think about the logic of Snow’s design:

  • D: treatment indicator, 1 for treated neighborhoods (Lambeth), 0 for control neighborhoods (Southwark and Vauxhall)

  • T: period indicator, 1 if post treatment (1854), 0 if pre-treatment (1849).

  • Ydi(t) the potential outcome of unit i

    • Y1i(t) the potential outcome of unit i when treated between the two periods

    • Y0i(t) the potential outcome of unit i when control between the two periods

Causal Effects

The individual causal effect for unit i at time t is:

τit=Y1i(t)−Y0i(t)

What we observe is

Yi(t)=Y0i(t)⋅(1−Di(t))+Y1i(t)⋅Di(t)

D only equals 1, when T equals 1, so we never observe Y0i(1) for the treated units.

In words, we don’t know what Lambeth’s outcome would have been in the second period, had they not been treated.

Average Treatment on Treated

Our goal is to estimate the average effect of treatment on treated (ATT):

τATT=E[Y1i(1)−Y0i(1)|D=1]

That is, what would have happened in Lambeth, had their water company not moved their pipes

Average Treatment on Treated

Our goal is to estimate the average effect of treatment on treated (ATT):

We we can observe is:

Pre-Period (T=0) Post-Period (T=1)
Treated Di=1 E[Y0i(0)|Di=1] E[Y1i(1)|Di=1]
Control Di=0 E[Y0i(0)|Di=0] E[Y0i(1)|Di=0]

Data

Because potential outcomes notation is abstract, let’s consider a modified description of the Snow’s cholera death data from Scott Cunningham:

Company 1849 (T=0) 1854 (T=1)
Lambeth (D=1) 85 19
Southwark and Vauxhall (D=0) 135 147

How can we estimate the effect of moving pumps upstream?

Recall, our goal is to estimate the effect of the the treatment on the treated:

τATT=E[Y1i(1)−Y0i(1)|D=1]

Let’s conisder some strategies Snow could take to estimate this quantity:

Before vs after comparisons:

  • Snow could have compared Labmeth in 1854 (E[Yi(1)|Di=1]=19) to Lambeth in 1849 (E[Yi(0)|Di=1]=85), and claimed that moving the pumps upstream led to 66 fewer cholera deaths.

  • Assumes Lambeth’s pre-treatment outcomes in 1849 are a good proxy for what its outcomes would have been in 1954 if the pumps hadn’t moved (E[Y0i(1)|Di=1]).

  • A skeptic might argue that Lambeth in 1849 ≠ Lambeth in 1854

Company 1849 (T=0) 1854 (T=1)
Lambeth (D=1) 85 19
Southwark and Vauxhall (D=0) 135 147

Treatment-Control comparisons in the Post Period.

  • Snow could have compared outcomes between Lambeth and S&V in 1954 (E[Yi(1)|Di=1]−E[Yi(1)|Di=0]), concluding that the change in pump locations led to 128 fewer deaths.

  • Here the assumption is that the outcomes in S&V and in 1854 provide a good proxy for what would have happened in Lambeth in 1954 had the pumps not been moved (E[Y0i(1)|Di=1])

  • Again, our skeptic could argue Lambeth ≠ S&V

Company 1849 (T=0) 1854 (T=1)
Lambeth (D=1) 85 19
Southwark and Vauxhall (D=0) 135 147

Difference in Differences

To address these concerns, Snow employed what we now call a difference-in-differences design,

There are two, equivalent ways to view this design.

{E[Yi(1)|Di=1]−E[Yi(1)|Di=0]}⏟1. Treat-Control |Post −{E[Yi(0)|Di=1]−E[Yi(0)|Di=0]⏞Treated-Control|Pre

  • Difference 1: Average change between Treated and Control in Post Period

  • Difference 2: Average change between Treated and Control in Pre Period

Difference in Differences

{E[Yi(1)|Di=1]−E[Yi(1)|Di=0]}⏟1. Treat-Control |Post −{E[Yi(0)|Di=1]−E[Yi(0)|Di=0]⏞Treated-Control|Pre Is equivalent to:

{E[Yi(1)|Di=1]−E[Yi(0)|Di=1]}⏟Post - Pre |Treated −{E[Yi(1)|Di=0]−E[Yi(0)|Di=0]⏞Post-Pre|Control

  • Difference 1: Average change between Treated over time
  • Difference 2: Average change between Control over time

Difference in Differences

You’ll see the DiD design represented both ways, but they produce the same result:

τATT=(19−147)−(85−135)=−78

τATT=(19−85)−(147−135)=−78

Identifying Assumption of a Difference in Differences Design

The key assumption in this design is what’s known as the parallel trends assumption: E[Y0i(1)−Y0i(0)|Di=1]=E[Y0i(1)−Y0i(0)|Di=0]

  • In words: If Lambeth hadn’t moved its pumps, it would have followed a similar path as S&V

Parralel Trends

Summary

  • A Difference in Differences (DiD, or diff-in-diff) design combines a pre-post comparison, with a treated and control comparison

    • Taking the pre-post difference removes any fixed differences between the units

    • Then taking the difference between treated and control differences removes any common differences over time

  • The key identifying assumption of a DiD design is the “assumption of parallel trends”

    • Absent treatment, treated and control groups would see the same changes over time.
    • Hard to prove, possible to test

Extensions and limitations

  • Diff-in-Diff easy to estimate with linear regression
  • Generalizes to multiple periods and treatment interventions
    • More pre-treatment periods allow you assess “parallel trends” assumption
  • Alternative methods
    • Synthetic control
    • Event Study Designs
  • What if you have multiple treatments or treatments that come and go?
    • Panel Matching
    • Generalized Synthetic control

Applications

  • Card and Krueger (1994) What effect did raising the minimum wage in NJ have on employment

  • Abadie, Diamond, & Hainmueller (2014) What effect did German Unification have on economic development in West Germany

  • Malesky, Nguyen and Tran (2014) How does decentralization influence public services?

References

Blair, Graeme, Alexander Coppock, and Macartan Humphreys. 2023. Research Design in the Social Sciences: Declaration, Diagnosis, and Redesign. Princeton University Press.

POLS 2580

1
POLS 2580 Casual Inference in Observational Designs & Simple Linear Regression Updated Dec 4, 2025

  1. Slides

  2. Tools

  3. Close
  • POLS 2580
  • Overview
  • Overview
  • Learing goals
  • Annoucements
  • Review
  • Review
  • Data Wrangling
  • Data wrangling
  • Mapping Concepts to Code
  • Descriptive Statiscs
  • Descriptive statistics
  • Levels of understanding
  • Levels of understanding in POLS 2580
  • Mean: Conceptual Understanding
  • Mean as a balancing point
  • Mean: Practical
  • Conditional Means: Practical
  • Mean: Definitional
  • Mean: Definitional
  • Mean: Theoretical
  • Mean: Theoretical
  • Mean: Theoretical
  • Mean: Theoretical
  • The sample mean is an unbiased estimator of the population mean
  • The sample mean is an unbiased estimator of the population mean
  • Levels of understanding
  • Data Visualization
  • Data Visualization
  • You’re about to be reincaranted…
  • My undergrads are about to be reincarnated: HLO
  • Basic Plot
  • Use a factor to label and order responses
  • Revised figure
  • What creature and...
  • Adding labelled values
  • You’re about to be reincarnated:
  • Data visualization is an iterative process
  • Setup
  • New packages
  • Install new packages
  • Census API
  • Packages for today
  • Previewing the Lab
  • Red Covid
  • Preview of the Lab
  • Lab: Questions 1-5: Review
  • Lab: Questions 6-10: Simple Linear Regression
  • Guidance
  • Q1: Setup your workspace
  • Q2 Load the data
  • Q2.1 Load the Covid-19 Data
  • Q2.2 Load Election Data
  • Q3 Describe the structure of each dataset
  • Q3 Describe the structure of each dataset
  • Q4 Recode the data for analysis
  • Q4.1 Recode the Covid-19
  • Q4.2 Calculate Rolling Means of Covid Deaths
  • Rolling Averages
  • Look at the output of zoo::rollmean()
  • Comparing Daily Cases to Rolling Average
  • Q4.3 Recode Presidential data
  • Q5 merging data
  • Advice for merging
  • Causal Inference
  • Causal inference is about counterfactual comparisons
  • Causal Identification
  • Experimental Designs
  • Randomization creates credible counterfactual comparisons
  • Observational Designs
  • Causal Inference in Observational Studies
  • Directed Acyclic Graphs
  • Two Ways to Describe Causal Claims
  • Directed Acyclic Graphs
  • Types of variables in a DAG
  • DAGs illustrate two sources of bias:
  • Confounding Bias:...
  • Collider Bias: The...
  • When to control for a variable:
  • Covariate Adjustment
  • Covariate Adjustment
  • Covariate Adjustment
  • Three approaches to covariate adjustment
  • Causal Identification through Subclassification
  • Causal Identification through Subclassification
  • Causal Identification through Subclassification
  • Example of Subclassification
  • Limits of Subclassification
  • The Curse of Dimensionality
  • Matching
  • Matching
  • Source...
  • Causal Identification with Matching (ICYI)
  • What to Know about Matching
  • Regression
  • Three approaches to covariate adjustment
  • Simple Linear Regression
  • Understanding Linear Regression
  • Understanding Linear Regression
  • Conceptual: Linear Regression
  • Conceptual: Linear Regression
  • Conceptual: Linear Regression
  • Linear Regression and the Line of Best Fit
  • Regression Notation
  • Linear Regression
  • Linear Regression
  • Practical: Estimating a Linear Regression
  • Practical: Estimating a Linear Regression
  • The lm() function
  • Practical: Interpreting a Linear Regression
  • Practical: Interpreting a Linear Regression
  • Practical: Predicted values from a Linear Regression
  • Practical: Predicted values from a Linear Regression
  • Practical: Predicted values from a Linear Regression
  • Practical: Predicted values from a Linear Regression
  • Practical: Visualizing...
  • Technichal: Mechanics of Linear Regression
  • How did lm() choose β0 and β1
  • What’s an error?
  • Why are we squaring and summing ϵ
  • How do we minimize ∑ϵ2
  • How did lm() choose β0 and β1
  • How do we minimize ∑ϵ2
  • Derivatives
  • Some useful facts about derivatives
  • Finding a Local Minimums
  • Partial Derivatives
  • Minimizing the sum of squared errors
  • Minimizing the sum of squared errors
  • Solving for β0
  • Solving for β1
  • Solving for β1
  • Solving for β1
  • Theoretical: OLS provides a linear estimate of CEF: E[Y|X]
  • Linear Regression is a many splendored thing
  • Linear Regression is a many splendored thing
  • The Conditional Expectation Function
  • Linear Approximations...
  • What you need to know about Regression
  • What you need to know about Regression
  • Difference-in-Differences
  • Motivating Example: What causes Cholera?
  • Notation
  • Causal Effects
  • Average Treatment on Treated
  • Average Treatment on Treated
  • Data
  • How can we estimate the effect of moving pumps upstream?
  • Before vs after comparisons:
  • Treatment-Control comparisons in the Post Period.
  • Difference in Differences
  • Difference in Differences
  • Difference in Differences
  • Identifying Assumption of a Difference in Differences Design
  • Parralel Trends
  • Summary
  • Extensions and limitations
  • Applications
  • References
  • f Fullscreen
  • s Speaker View
  • o Slide Overview
  • e PDF Export Mode
  • r Scroll View Mode
  • b Toggle Chalkboard
  • c Toggle Notes Canvas
  • d Download Drawings
  • ? Keyboard Help